[Download 33+] Draw A Schematic Diagram Which Tells Us About The Oesophagus
Download Images Library Photos and Pictures. Abdomen And Digestive System Diagrams Normal Anatomy E Anatomy Human Nervous System Diagram How It Works Live Science Digestive System Schematic Drawing Of The Position Occupied By The Organs In The Human Body 1 Mouth 2 Pharynx 3 Esophagus 4 Stomach 5 Large Intestine 6 Small Intestine 7 Rectum Drawing Color Stock Photo Alamy Enhanced Imaging Of The Esophagus Optical Coherence Tomography Sciencedirect
. Human Digestive System Diagram Genesis Health System Stomach Anatomy Of The New Zealand Fur Seal Arctocephalus Forsteri Lesson 1828 And The Long Finned Pilot Whale Globicephala Melas Traill 1809 A Thesis Presented In Partial Fulfilment Of The Requirements Figure 1 From Esophageal Malignancy And Staging Semantic Scholar
Schematic Drawing Of The Pathologic Anatomy Download Scientific Diagram
Schematic Drawing Of The Pathologic Anatomy Download Scientific Diagram
A Schematic Diagram Of The Relationship Of The Aorta To The Esophagus Download Scientific Diagram
Aberrant Promoter 2 Methylation Mediated Downregulation Of Protein Tyrosine Phosphatase Non Receptor Type 6 Is Associated With Progression Of Esophageal Squamous Cell Carcinoma
A Draw A Labelled Diagram Of The Human Digestive System With The Help Of This Diagram Describe The Process Of Digestion Of Food In Man Humans Science Shaalaa Com
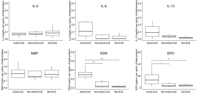
Poor Correlation Of Oral Swabs With Esophageal Eosinophil Counts Springerlink
1 Draw A Diagram Of Human Alimentary Canal Cbse Class 10 Science Learn Cbse Forum
Digestion And Absorption Of Carbohydrates
Abdomen And Digestive System Diagrams Normal Anatomy E Anatomy
Elementary Physiology Fig 6i Schematic Diagram To Illustrate The Course Of The Circulation I Right Auricle 2 Left Auricle 3 Right Ventricle 4 Left Ventricle 5 Vena Cava Superior 6
Using Drawing As A Way Of Understanding University Of Liverpool Veterinary Science Schematic Drawing Task
The Fetal Gastrointestinal System Radiology Key
Schematic Drawing Of Patient S Changed Anatomy After Surgery Resection Download Scientific Diagram
Diagram Cisco Voice Diagram Full Version Hd Quality Voice Diagram Diagramkurtzz Laserdrone It
Draw The Schematic Diagram Representing The Functional And Structural Attributes Of Oesophagus Brainly In
Draw A Schematic Diagram Of Human Digestive System Science Life Processes 9262175 Meritnation Com
Stomach Anatomy Of The New Zealand Fur Seal Arctocephalus Forsteri Lesson 1828 And The Long Finned Pilot Whale Globicephala Melas Traill 1809 A Thesis Presented In Partial Fulfilment Of The Requirements
A Boy With Vomiting Nejm Resident 360 Meta Property Twitter Image Content Https Resident360files Nejm Org Image Upload C Fit F Auto H 120 W 120 V1538599218 U8buf4o8mgdxgmfcczjk Png Meta Property Og Image Content Https Resident360files
Pancreatic Cancer Diagnosis Treatment Surgery
Medpix Case Esophageal Foreign Body Coin Ingestion
Schematic Diagram Of Intestinal Epithelium Showing M Cells Peyer S Patches Intestinal Epithelial Cells And Pathway Of Ag Transport
Draw A Schematic Diagram Which Tells Us About The Oesophagus If You Only Draw I Will Mark You Brainly In
The Musculoskeletal System Systems In The Human Body Siyavula


Komentar
Posting Komentar